麻豆传媒a片

招生就业

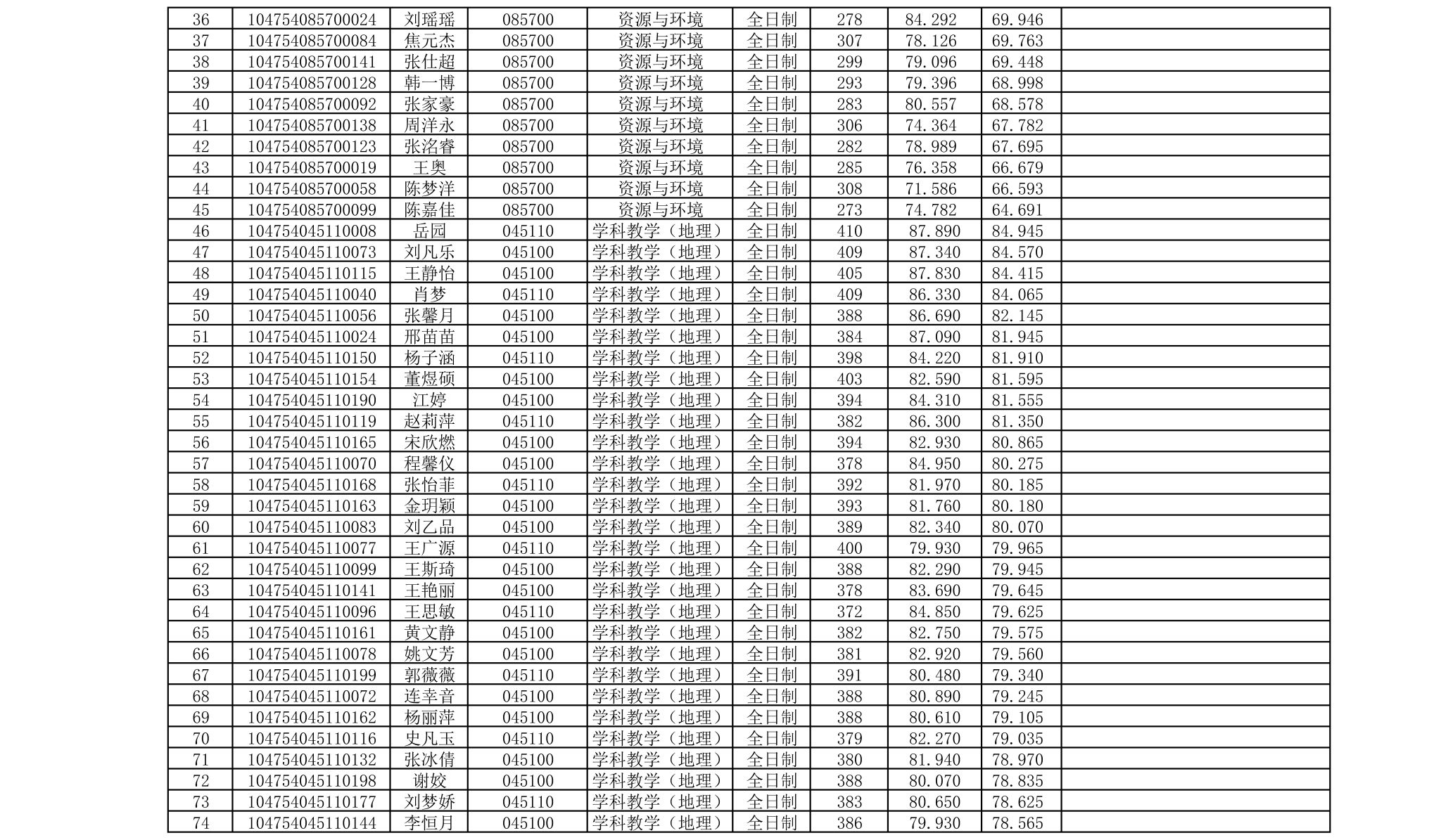
麻豆传媒a片 地理与环境学院2024年硕士研究生第二批复试成绩公示

发布时间:2024-04-08
浏览次数:5258
来源: